TOP
回首頁
服務說明
加入平台
登入
最愛
美髮
美容護膚
美甲
美睫
紋眉
新娘祕書
店家
優惠與公告
美麗知識
活動
工作機會
加入平台
美髮
美容護膚
美甲
美睫
紋眉
新娘祕書
店家
優惠與公告
美麗知識
活動
工作機會
加入平台
首頁
我要留言
我要留言
Message
我要留言
*必填
*
詢問項目
台中酒展展票下載(7/6之前)
*
姓 名
連絡信箱
*
連絡電話
傳 真
*
內容
*
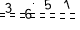
輸入驗證碼
(
更換
)